西北工業大學力學與土木建筑學院喬吉超教授團隊在高熵非晶合金粘彈性力學領域取得新進展,該工作首次建立了非晶合金力學弛豫和平衡動力學之間的內稟性關聯,對于理解非晶合金動力學和熱力學行為及其與微觀結構非均勻性關聯提供了新的研究思路。相關成果以“Connection between mechanical relaxation and equilibration kinetics in a high-entropy metallic glass”為題,發表在《物理評論快報》(Physical Review Letters)。
西北工業大學力學與土木建筑學院博士研究生段亞娟為第一作者,西北工業大學喬吉超教授、西班牙加泰羅尼亞理工大學Eloi Pineda教授為通訊作者。論文的共同作者有:中國科學院寧波材料技術與工程研究所童鈺博士,西班牙加泰羅尼亞理工大學E. Jiménez-Piqué教授,中國科學院力學研究所王云江研究員,香港城市大學楊勇教授,日本東北大學Takeshi Wada博士、Hidemi Kato教授,法國國立里昂應用科學學院Jean-Marc Pelletier教授。

圖1論文首頁信息
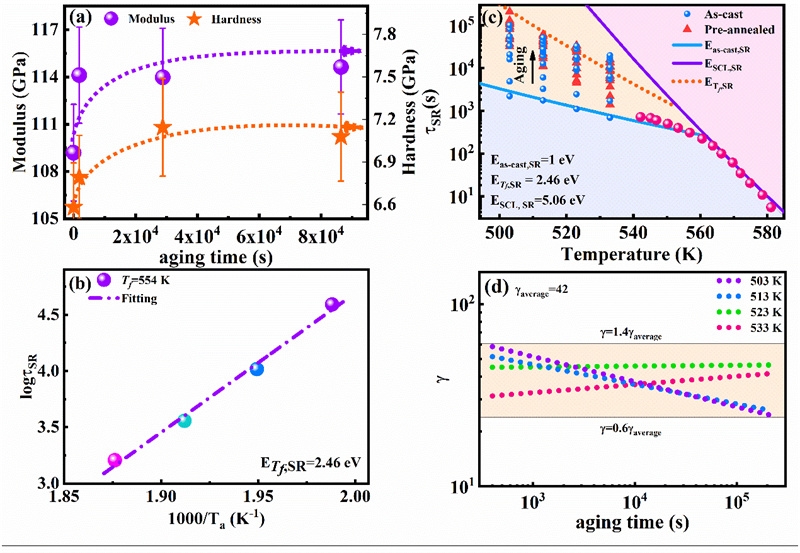
研究團隊首次詳細探索了Pd20Pt20Cu20Ni20P20高熵非晶合金結構動力學和熱動力學特性的內稟性關聯,如圖2所示。隨物理時效增加,其應力松弛特性明顯地與焓平衡動力學相關聯。這與傳統上僅將物理老化與β弛豫相關聯的觀點不同,研究團隊發現激活能隨物理老化時間發生變化,并展現出廣泛的激活能分布。應力松弛弛豫時間與焓弛豫時間及微納力學特性(楊氏模量和硬度等)的平衡速率呈正比。值得注意的是,高熵非晶合金動態非均勻性和納米壓痕測得的微觀結構非均勻性呈現相反的趨勢。通常,玻璃動態性能與其空間結構非均勻性質相關,然而,該研究觀察到在空間結構更加均勻化的同時動態非均勻性增加。這種動態非均勻性行為可能為老化初期階段的一個特征。動態非均勻性來源不僅與具有不同松弛時間尺度空間區域的分布有關,也與不同類型原子微觀重排相關松弛模式有關。這些松弛模式可以通過力學及物理機制的類型來區分,例如剪切轉變區域或類似原子團運動,也可以通過合作性的程度來區分。研究發現,動態非均勻性變化與這些機制時間尺度及其對總體松弛相對貢獻與老化演變過程有關。此外,應力松弛動力學行為比焓弛豫表現出更顯著變化,這表明應力松弛動力學行為為更敏感的性質,可用于表征高熵非晶合金的結構狀態。
圖2(a)楊氏模量和硬度隨老化時間的演變。(b)應力松弛時間與老化溫度在=554 K的演變規律。(c)在玻璃和過冷液體區域老化過程中的演變。(d)不同老化時間和溫度下參數隨老化時間的演變規律。
該研究工作得到國家自然科學基金(項目批準號:51971178、52271153、12072344)、中央高?;究蒲袠I務費資助項目(西北工業大學國際科技合作提升專項基金項目批準號:D5000220034)、陜西省杰出青年科學基金(項目批準號:2021JC-12)、日本東北大學金屬材料研究所資助項目(項目批準號:202212-RDKGE-0504)、中國科學院青年創新促進會、香港研究資助局通用研究基金(項目批準號:CityU11206362、CityU11201721)、西班牙加泰羅尼亞政府資助項目(項目批準號:PID2020-112975GB-I00、PID2021-126614OB-I00)、西北工業大學博士論文創新基金(項目批準號:CX202031)和中國國家留學基金(批準號:202006290092)等項目的支持。尤其需要感謝的是該研究得到了西北工業大學翱翔青年學者計劃的重要支持。
論文鏈接:
https://doi.org/10.1103/PhysRevLett.132.056101
(圖文:喬吉超、段亞娟;審核:巨維博)