
原文鏈接:
https://pubs.acs.org/doi/10.1021/jacs.3c10538
全文速覽
電子化合物(Electride)是一種特殊類型的材料,其局域于晶格間隙中的電子,可表現陰離子特性,被稱為“陰離子性”電子(anionic electron)。電子化合物獨特的電子結構賦予其優異的導電性、催化活性以及還原性,在合成氨催化、可充電電池、超導體、電子發射體、有機發光二極管(OLED)和自旋電子器件等領域展現出廣闊的應用前景。近年來,多種新型電子化合物相繼被發現和研究,為催化材料、電子器件的開發和理論研究提供了新的材料基礎。
數據庫外巨大的潛在化學空間為電子化合物尋找提供了更多的可能。但是巨大的篩選空間也對研究方法提出了挑戰。因此,開發高效尋找新型電子化合物的研究方法成為當務之急。近期,西北工業大學王俊杰教授與比利時魯汶天主教大學Gian-Marco Rignanese教授合作,首次將機器學習方法引入電子化合物的搜索研究,從包含14437個候選化合物的化學空間中篩選出了145種具有不同局域電荷密度的新型A2BC2電子化合物,并合成了三種代表性材料(“富電子”型電子化合物:Nd2ScSi2和La2YbGe2,“缺電子”型電子化合物:Y2LiSi2)。實驗證實,通過間隙電荷濃度的調控,“缺電子型”電子化合物Y2LiSi2被用作合成氨催化劑載體時,兼具優異的耐氧化穩定性和催化活性,這為未來電子化合物在催化材料領域的應用提供了新的重要研究方向。相關研究成果以Machine Learning-Accelerated Discovery of A2BC2 Ternary Electrides with Diverse Anionic Electron Densities為標題發表在材料領域權威學術期刊Journal of the American Chemical Society上(J. Am. Chem. Soc. 2023, 145, 48, 26412–26424)。
該工作的第一作者為西北工業大學材料學院博士生王志旗,通訊作者為王俊杰教授。合作作者包括:材料學院鞏玉同副教授、王詩堯博士、博士生苗楠茜、21級本科生嚴余靖和鄭睿恒;比利時魯汶天主教大學Gian-Marco Rignanese教授和Matthew L. Evans博士。
背景介紹
在尋找新型電子化合物時,價電子富余規則(即晶體結構內的陽離子可提供超過陰離子接納數量的電子)一般被認為是需要遵守的第一原則。然而,2021年王俊杰教授帶領的研究小組,通過理論計算設計了一種具有價電子缺乏特征的化合物Ca5Pb3(5個Ca原子可給出10個價電子,不能滿足3個Pb4-離子的最大價電子需求)。理論計算發現,在施加外壓時,部分電荷可以從Pb4-的軌道轉移到晶格間隙,從而形成電子化合物態。這一理論發現打破了電子化合物僅能存在于價電子富余體系這一規則,極大拓展了電子化合物的搜索空間,將電子化合物研究推進到“后價電子富余”階段(詳見Journal of the American Chemical Society 2021, 143 (23), 8821-8828)。
同時,這一研究進展也提出了新的科學挑戰:
(1)“缺電子”型電子化合物能否在實驗中被真正合成?
(2)“缺電子”型電子化合物相較傳統“富電子”型電子化合物優勢何在?
(2)失去“價電子富余”這一篩選規則,如何高效篩選新型電子化合物?
本文為回答以上問題,開展僅針對電子化合物的電荷局域特征的人工智能設計,預測出一系列具有不同電荷濃度的電子化合物,并開展系統實驗驗證。本文研究說明,人工智能方法的引入可為電子化合物的發現和研究注入新的活力,必將在這一領域發揮越來越重要的作用。
本文亮點
本文首次將機器學習方法引入新型電子化合物的搜索,結合高通量從頭算計算篩選,在結構原型為A2BC2(空間群P4/mbm,編號127)的三元化合物中發現電化物。從近14,500種可能的化合物中篩選出145種(44種穩定和115種亞穩定)具有不同陰離子電子密度的A2BC2新型電子化合物。此外,預測結果通過實驗得到了驗證:兩個富電子型(Nd2ScSi2和La2YbGe2)和一個缺電子型(Y2LiSi2)新型電子化合物被成功合成并作為合成氨催化劑進行了研究。
圖文解析
本工作設計了包括機器學習、高通量計算和實驗驗證的新型電子化合物研究框架。首先通過結合高通量計算和機器學習相結合的方法進行了新型三元電子化合物的理論篩選。將從數據庫中篩選出的214種A2BC2化合物的局域電荷參數ELFmax作為訓練集,訓練得到性能最優的機器學習模型。然后將該模型應用于構建的預測數據集,篩選出可能的電子化合物結構,并通過進一步的高通量計算篩選,得到具有高穩定性的新型A2BC2電子化合物。最終,通過實驗合成所設計新型電子化合物,驗證了理論預測的可靠性。

圖1. 新型A2BC2電子化合物篩選研究框架
本文的輸入數據集是通過收集Materials Project數據庫中214種現有A2BC2化合物并計算其ELFmax構建的。在這一過程中確定了42種新型的A2BC2電子化合物。之后,將其隨機分為90%的訓練集和10%的測試集。預測數據集是通過簡單的元素替換策略構建的,沒有考慮體系電荷平衡條件。通過從現有的A2BC2化合物中替換元素(A、B和C位分別有21、29和25個候選元素),生成了15225種潛在化合物。在排除輸入數據集中已經存在的化合物后,預測數據集包含14437種三元A2BC2化合物。

圖2. 數據集構建:(a)A2BC2結構示例(Yb2MgP2)及其ELF;(b)ELFmax示意圖;(c)214種現有A2BC2化合物的ELFmax分布;(d)預測數據集所涉及的元素
為了限制特征維度,本文使用包裝法進行特征選擇。使用GBRT算法獲得的特征重要性得分來迭代地刪除特征,在每一步中使用剩余的特征訓練ML模型。重復該過程,直至只剩下一個特征。為了在保持高精度的同時降低模型的復雜度,最終使用11個特征進行模型構建。特征重要性分數結果表明了不同特征對目標值的影響程度。在隨機100次測試后,模型在測試數據集上表現優異,RMSE和R2分別為0.034和0.957。

圖3. 機器學習模型訓練:(a)特征提取過程;(b)特征重要性排序;(c)模型表現效果。
基于機器學習的特征提取結果進一步分析可以得出結論:A和B原子對間隙電子的形成有直接影響,而C原子則通過相對極化性間接影響間隙電子的出現,這在以前的研究中并未被提及過。本文研究揭示,機器學習可有助于研究者更好地理解A2BC2化合物中間隙電子的形成機制。雖然上述借助機器學習獲得的機制僅基于A2BC2原型,但它可能有助于研究者理解、設計和發現具有其他結構原型的新型電子化合物。

圖4. 間隙電子形成分析:(a)χ(A – B);(b)χ(B);(c)α(B – C);(d)α(B);(e)α(A – C);(f)間隙電子形成的示意圖
基于預測結果,本研究成功合成了兩種新的富電子電子化合物(Nd2ScSi2和La2YbGe2)和一種缺電子電子化合物(Y2LiSi2)。計算的電子結構表明三種電子化合物間隙電子的能級接近相應的費米能級,屬于電子化合物的典型特征。其中,Y2LiSi2是首個在常壓下合成的“缺電子”型電子化合物。

圖5. 預測的A2BC2電子化合物的晶體和電子結構。XRD結果:Nd2ScSi2(a)La2YbGe2(b)Y2LiSi2(c)。計算的電子結構:Nd2ScSi2(d)La2YbGe2(e)Y2LiSi2(f)
TPD測試和氫氣脫出能計算結果表明,三個合成的新型電子化合物均具有在低溫下進行可逆儲存氫的能力。UPS和功函數計算結果表面,三者均具有較低的表面功函數。上述兩個性質賦予了三者作為合成氨催化劑載體的潛力。

圖6. 氫儲存性能和功函數:(a)TPD譜圖;(b)計算得到的氫脫出能量變化;(c-e)通UPS測試的功函數
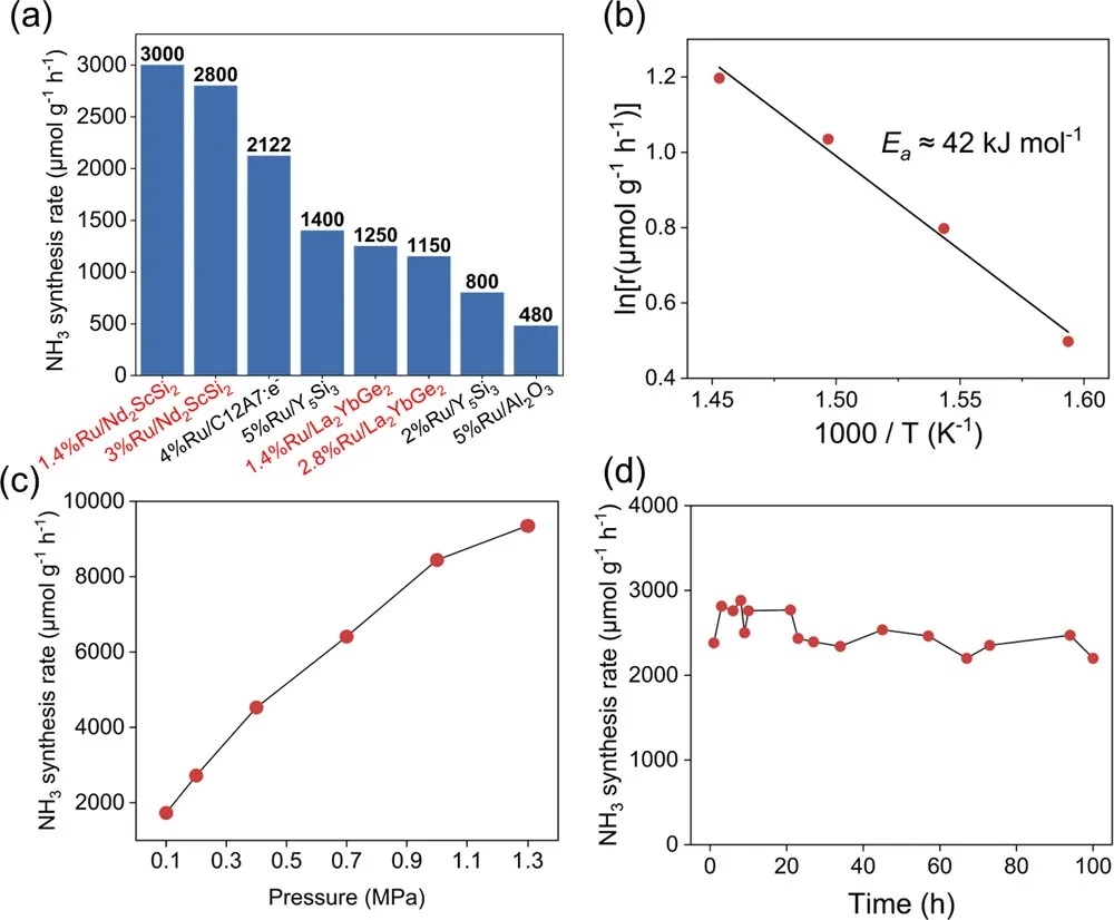
與傳統氧化物/電子化合物負載型催化劑相比,富電子型A2BC2電子化合物具有優異的合成氨催化性能。3%Ru/Nd2ScSi2的表觀活化能為42 kJ mol-1,與其他電子化合物基催化劑相當。3%Ru/Nd2ScSi2的催化活性隨壓力增加單調增加,顯示出電子化合物在解決氫中毒問題方面的重要優勢。在穩定性測試中,3%Ru/Nd2ScSi2催化劑在經歷100小時的連續反應后,沒有明顯的失活現象。

圖7. 富電子型A2BC2電子化合物的合成氨性能評估:(a)在400°C和0.1 MPa條件下催化劑的活性比較;(b)Ru/Nd2ScSi2的表觀活化能測試;(c)3%Ru/Nd2ScSi2在不同壓力下的活性測試;(d)3%Ru/Nd2ScSi2的活性穩定性測試
本文研究發現,“缺電子”型電子化合物Y2LiSi2展示出優異的化學穩定性和活性穩定性。在水中攪拌5天后,4.9%Ru/Y2LiSi2仍保持了接近原來80%的合成氨活性。研究表明,4.9%Ru/Y2LiSi2顯示出低表觀活化能和高壓抗氫毒化能力,是典型的電子化合物基合成氨催化劑。通過分析三種催化劑的間隙電子和合成氨活性之間的關系,本文研究發現高間隙電子濃度能夠明顯促進催化劑合成氨活性,而低電子濃度使催化劑具有高的化學穩定性。

圖8. 缺電子型電子化合物Y2LiSi2的催化合成氨性能和機理:(a)Ru/Y2LiSi2的催化活性;(b)4.9%Ru/Y2LiSi2的表觀活化能測試;(c)不同壓力下4.9%Ru/Y2LiSi2的催化活性;(d)Nd2ScSi2,La2YbGe2和Y2LiSi2的Bader電荷和ELF
總結與展望
本研究通過結合機器學習和高通量密度泛函理論計算,系統地篩選新的A2BC2電子化合物,共確定了44種穩定的和115種亞穩定的A2BC2電子化合物,包括富電子型、平衡電子型和缺電子型。本研究的機器學習研究不僅加速了新型電子化合物的發現,而且通過解釋訓練模型的特征重要性,揭示了電子化合物形成的新機制。除了陽離子的電負性之外,陰離子和陽離子的相對極化性也間接地對間隙電子的形成產生重要影響。
實驗上成功合成了兩種“富電子”型電子化合物La2YbGe2和Nd2ScSi2和首個“缺電子”型電子化合物Y2LiSi2。Y2LiSi2在化學穩定性和催化性能之間表現出優異的平衡性,即使在用水洗滌樣品5天后仍能保持高的化學穩定性。
本研究系統的回答了“后價電子富余”階段的三大問題:“缺電子”型電子化合物可以在常壓下合成,同時顯示出化學穩定性和催化活性的出色平衡,將是未來電子化合物催化材料的重點研究方向。同時,在失去“價電子富余”這一電子化合物設計規則后,人工智能技術將是發現新型電子化合物的有力工具。
(文字:材料學院;審核:禹亮)